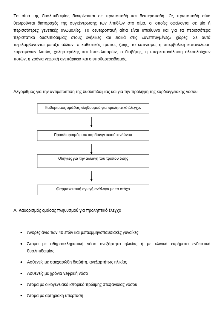
ΔΥΣΛΙΠΙΔΑΙΜΙΑ

Περισσότερα Άρθρα

6 τρόποι άσκησης για γερά οστά

Όσο μεγαλώνουμε η μυϊκή και η οστική μάζα του σώματός μας μειώνεται κι είναι σημαντικό για κάθε ηλικίας άνθρωπο που θέλει υγιή οστά να ασκείται

Κύλιση στην κορυφή